top of page

新着情報/法改正情報

法改正情報などお役立ち情報をUPしています

2025年2月9日

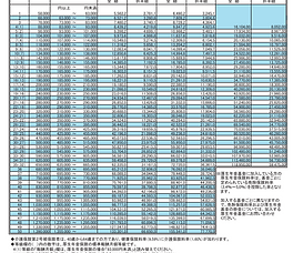
令和7年 国民年金保険料/在職老齢年金支給調整額

【国民年金】

令和7年 国民年金保険料/在職老齢年金支給調整額

2025年2月8日

令和7年 年金額改定 

【国民年金・厚生年金】

令和7年 年金額改定 

2025年2月8日

令和7年 雇用保険料率 改定

【雇用保険】

令和7年 雇用保険料率 改定

2024年8月6日

自動車運転者の長時間労働改善に向けたポータルサイト

【労働基準法】

自動車運転者の長時間労働改善に向けたポータルサイト

2024年7月31日

雇用保険基本手当日額の変更

【雇保 基本手当日額】

雇用保険基本手当日額の変更

2024年7月31日

育児休業給付金の延長手続が変わります

【育児休業給付金】

育児休業給付金の延長手続が変わります

2024年5月26日

就業促進手当の廃止と引き下げ

【改正 雇用保険法】

就業促進手当の廃止と引き下げ

2024年5月26日

教育訓練給付金の拡充

【改正 雇用保険法】

教育訓練給付金の拡充

2024年5月25日

雇用保険の加入を週10時間以上に拡大

【改正 雇用保険法】

雇用保険の加入を週10時間以上に拡大

2024年5月25日

自己都合離職者の給付制限を1ヶ月に

【改正 雇用保険法】

自己都合離職者の給付制限を1ヶ月に

2024年4月22日

仕事と不妊治療の両立支援のために

【両立支援】

仕事と不妊治療の両立支援のために

2024年3月12日

障害者の法定雇用率引き上げ

【障害者雇用】

障害者の法定雇用率引き上げ

2024年3月11日

健康保険 一部負担金免除

【健康保険】

健康保険 一部負担金免除

2024年3月10日

本社一括協定届

【電子申請】

本社一括協定届

2024年3月9日

令和6年度雇用保険料率

【雇用保険】

令和6年度雇用保険料率

2024年3月8日

令和6年度労災保険料率

【労災保険】

令和6年度労災保険料率

2024年3月7日

令和6年度の国民年金保険料額

【国民年金】

令和6年度の国民年金保険料額

2024年3月7日

令和6年度の年金額

【国民年金】

令和6年度の年金額

2024年3月6日

労働条件明示ルール

【労働基準法】

労働条件明示ルール

2024年3月5日

令和6年3月分以降の健康保険料

【社会保険】

令和6年3月分以降の健康保険料
bottom of page